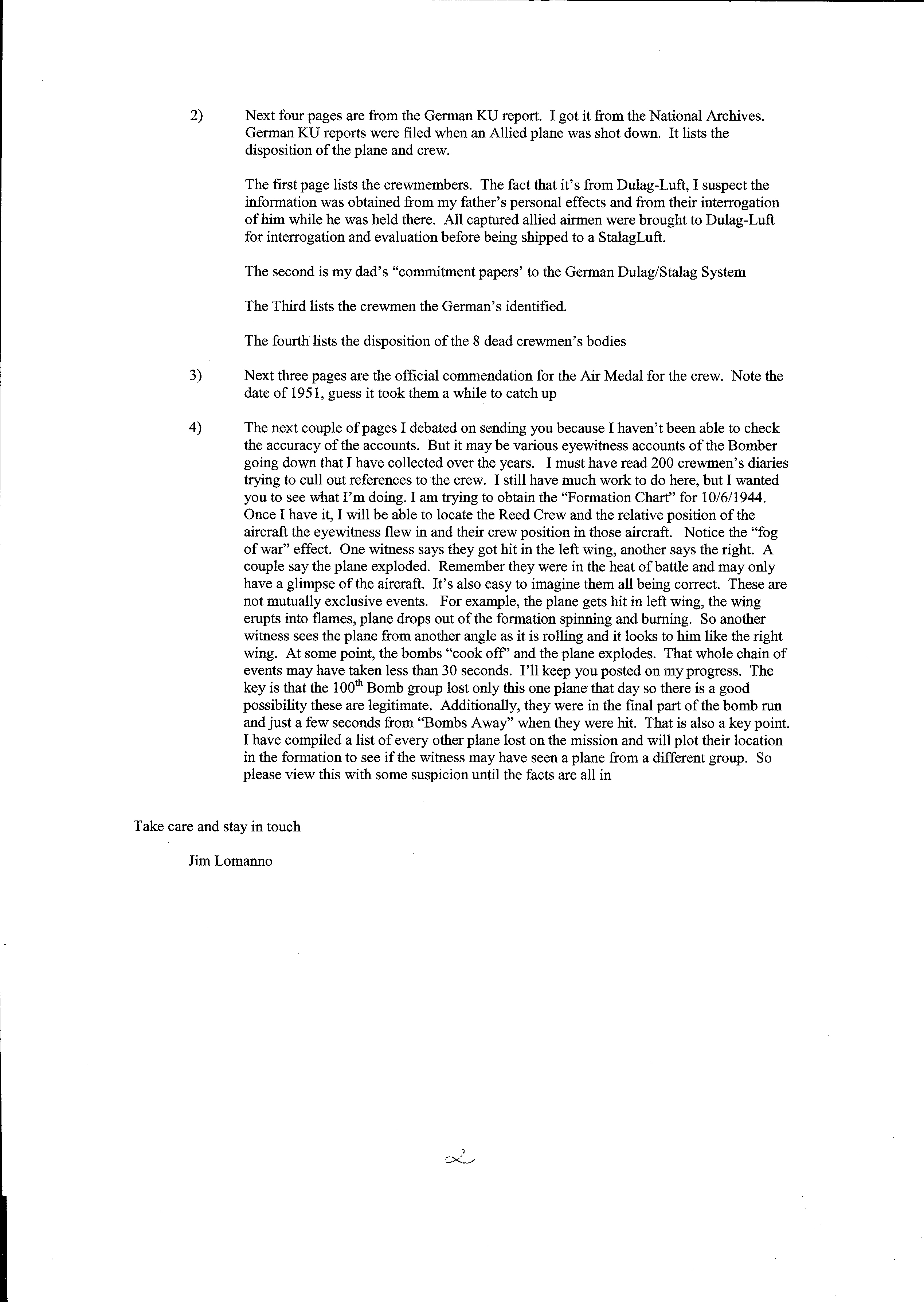
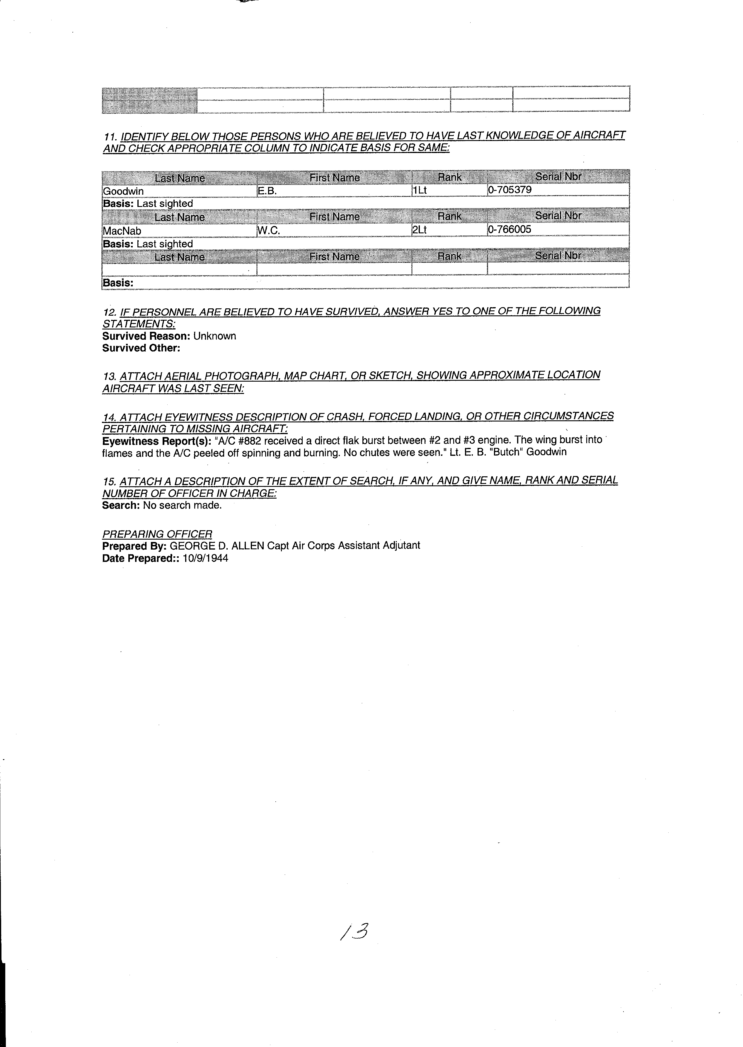
 |
Veterans of Cedar County, Nebraska
World War II
Cedar County World War II Casualties
VETERANS
BOTTOLFSEN Herman A. "Art"
Born: 10/10/1916 Died: 08/31/1972-73 Buried in the Paragon Cemetery, Cedar County, Nebraska.
Served as Tec 5 US Army During WWII on the islands in the Pacific in part.
BOTTOLFSEN Hugh
Served in the Navy. Baker in the ship's galley. Son of Magnus Bottolsen & Bertha Gearhart.
BOTTOLFSON William E. "Bill"
Born: 08/25/1907 Died: 01/26/1974 Buried in the Paragon Cemetery, Cedar County, Nebraska.
Nebraska, Pfc. Army Airforces
HAAHR Wendell P.
Born: 09/11/1920 Died: 04/13/2007 Buried in the Paragon Cemetery, Cedar County, Nebraska.
Wendell joined the National Guard at age 17 and served from Nov 25, 1937 to Oct. 3, 1940. He entered the U.S. Army Dec 23, 1940 and
served during WWII until being honorably discharged Oct. 16, 1945. He served with the 134th Infantry Anti-Tank Platoon Headquarters
Company and fought in the European Theatre and the Battle of the Bulge.
HESSE Ed REED Frederick ROHDE Ed
The following 22 pages detail in narration and photos, the story of these three veterans. Submitted by
Jim Lomanno
Page 1 Page 2
Page 3 Page 4
Page 5 Page 6
Page 7 Page 8
Page 9 Page 10
Page 11 Page 12
Page 13 Page 14
Page 15 Page 16
Page 17 Page 18
Page 19 Page 20
Page 21 Page 22
If you have something you would like to contribute to this section, please e-mail
Carol Tramp, Coordinator for Cedar County
HOME
You are our [an error occurred while processing the directive] visitor since adding this counter on 6/16/09.
Thanks for stopping by!
This page was last updated 04/11/21
|